Solving Matrix Equations Worksheet

Solving Matrix Equations Worksheet. Write each system of linear equations as an augmented matrix: Ⓐ { 11 x = − 9 y − 5 7 x + 5 y = − 1 ⓑ { 5 x − 3 y + 2 z = − 5 2 x − y −.

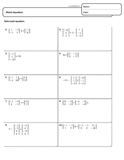
14 Best Images of Matrix Equations Worksheet Algebra 2 Matrices
14 Best Images of Matrix Equations Worksheet Algebra 2 Matrices from www.worksheeto.com

Web math on the spot. Web using the matrix calculator we get this: Web (a) write this system of three equations in matrix form ax = b, where x is a column vector whose entries are the three unknown currents.

Solve The System Using A Matrix Equation.


(b) solve this matrix equation for the. Web these algebra 2 matrices worksheet will produce problems for finding the determinants of 2x2 matrices. You can select the type of elements in the matrices.

Web A Matrix Equation Is An Equation Where A Variable Is A Matrix.


11) b 12) x 13) a no unique solution 14) b 15) c 16) x create your own. A matrix is rectangular arrangement of data found in rows and columns, like a spreadsheet. Write the augmented matrix for the system of equations.

(Ii) Find A(B + C).


Write each system of linear equations as an augmented matrix: Web in worksheet on matrix the questions are based on finding unknown elements and matrices from matrix equation. Web math on the spot.

Web Systems Of Equations With Two Variables Worksheets.


Matrices can be used to solve complex logical functions as well as. Web solve matrix equations worksheets. The first column of a matrix.

Web Using The Matrix Calculator We Get This:


It can be created from a system of equations and used to solve the system of equations. Gain immense practice with this batch of printable solving systems of equations worksheets, designed for 8th grade. Web learn for free about math, art, computer programming, economics, physics, chemistry, biology, medicine, finance, history, and more.